华南理工大学张广照、赵俊鹏《自然·通讯》:突破环氧化物开环聚合分散度控制难题
分散度(又称分子量分布,DM)对聚合物性能具有深远影响,但其精准控制始终是高分子合成领域的挑战——尤其在环氧化物开环聚合(ROP)中。尽管过去半世纪活性/可控聚合技术已实现低DM聚合物的合成,但高 DM聚合物在微相分离、自组装和加工等领域展现出独特优势。现有分散度控制策略集中于乙烯基加成聚合,而环氧化物ROP的分散度调控此前尚未实现突破。
近日,华南理工大学张广照教授、赵俊鹏教授团队在《自然·通讯》发表创新成果,提出一种通过可编辑链转移反应调控脂肪族聚醚分散度的简易策略。该研究以三氟乙酸酯(TFA)为链转移剂(CTA),在有机催化环氧化物ROP中实现非均匀链增长,同时保障100%引发效率和易去除的CTA残留。仅通过调节投料比即可三重控制 DM(1.05–2.00)、分子量(3.6–17.7 kg mol−1)和端基结构,实验结果与理论模型高度吻合。机理研究表明,链增长与酯交换反应的正交性是实现模块化分散度控制的关键。
图1揭示了分散度可控的编辑链转移ROP(ECT-ROP)机理。该体系包含质子转移(紫色齿轮)和可编辑链转移(蓝色齿轮)两条路径,通过三组独立可调模块(链引发、链增长、链转移)调控反应速率。当链转移速率(Rt)适度低于链增长速率(Rp)(约10 Rt p 1000 R t )时,可实现分子量与分散度的双重控制。三氟乙酸酯凭借其表面静电势介于脂肪酯与活化环氧化物之间的特性,成为理想的链转移剂。
图1 分散度可控的编辑链转移ROP(ECT-ROP)机理 a) 环氧化物ECT-ROP反应路径:质子转移(紫色)与可编辑链转移(蓝色),齿轮角速度代表相对反应速率。 b) 模块化ECT-ROP机理示意图, Rti为引发阶段链转移速率,饼图比例表示三模块对分散度控制的贡献权重。
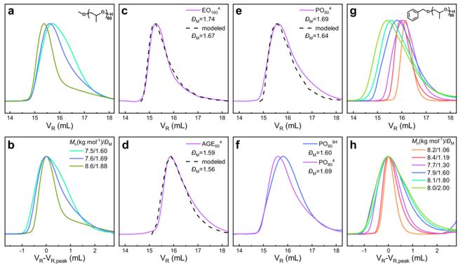
图2展示了分子量与分散度双重控制的聚醚合成结果。以甲醇(MeOH)和甲基三氟乙酸酯(MTFA)为双组分引发-转移体系,在tBuP₂-Et₃B路易斯对催化下,成功制备了聚环氧乙烷(PEO)、聚环氧丙烷(PPO)及烯丙基缩水甘油醚聚合物(PAGE)。尺寸排阻色谱(SEC)和核磁共振谱图证实:当聚合度(DP)为80-400时,实测分子量与理论值( Mn,th= [EO]0/( [MeOH]0+[MTFA]0) MEO)高度吻合;且 DM随MTFA/MeOH投料比增加从1.05升至1.74。修正的Müller方程(DM =(1+β)/(β+α)+C)完美拟合实验数据。
图2 分子量与分散度双重控制的聚醚合成 a-c) 双重控制的PEO(DP=160)、PPO(DP=80)和PAGE(DP=60)的SEC谱图。 d) [MTFA]₀/[MeOH]₀对 DM(上图)和SEC实测分子量(下图)的影响。 e-h) 实验 DM与修正Müller方程(式1)及理论模型的拟合结果,左侧为拟合参数。
图3进一步探究了催化剂比例与CTA结构对分散度的影响。增加Et₃B投料量会显著提高PPO的DM([tBuP₂]₀/[Et₃B]₀=0.05/0.15时DM达1.88),但引发效率不足导致分子量失控。理论模拟发现,引发阶段链转移速率( Rt i)低于增长阶段(Rt)是低分子量拖尾的主因。改用活性更高的苯基三氟乙酸酯(BTFA)后,SEC谱图呈现对称分布,在[BnOH]₀/[BTFA]₀=0.1/0.9时获得 DM=1.80的受控聚合物,最高 DM可达2.00。
图4通过密度泛函理论(DFT)计算阐明反应机制。CF₃基团的强吸电子效应将TFA酯交换能垒从常规脂肪酯的44.4 kcal mol⁻¹降至28.4 kcal mol⁻¹,与环氧化物开环能垒(24.4 kcal mol⁻¹)形成匹配区间(紫域)。Et₃B对链增长呈一级依赖( Rp∝[ Et3B]f),而对链转移呈零级与一级混合动力学(Rt= (kt,0+ kt,1[ Et3B]f) [ACE][TFA],这种差异为催化剂比例调控分散度提供理论依据。
图4 EO在ECT-ROP中基元反应的能量谱 红色/蓝色线分别表示链增长和TFA酯交换路径,灰色线为常规酯抑制的酯交换。过渡态三维结构经DFT优化,浅紫域为Rp与 Rt 的匹配区间。
图5的动力学研究表明:当[MeOH]₀/[MTFA]₀=0.25/0.75时,PO转化率50%后分子量增长停滞而 DM持续上升,表明低MeOH比例延长引发阶段并降低链增长均一性;MTFA在PO转化率达96%时完全消耗,证实引发效率达100%。Et₃B浓度提升使链增长速率常数( kp,obs)提高1.84倍,进一步验证了其对反应动力学的差异化调控。
该研究开创性地通过可编辑链转移反应实现了脂肪族聚醚的分散度精准控制。三氟乙酸酯链转移剂与酸过量路易斯对催化剂的协同作用,使反应速率可调且端基易修饰。这种一锅法三重调控策略为高分子工程提供了新范式,有望推动聚醚材料在减水剂、固体电解质等领域的性能优化。
声明:仅代表作者个人观点,作者水平有限,如有不科学之处,请在下方留言指正!
特别声明:以上内容(如有图片或视频亦包括在内)为自媒体平台“网易号”用户上传并发布,本平台仅提供信息存储服务。
15万个AI建了个朋友圈吐槽人类,100万人围观Moltbook后傻眼了:原来我们对AI一无所知
澳门英皇娱乐酒店大堂78公斤黄金被连夜撤走,价值超8580万元!工作人员回应:与金价无关,系内部装修需要
广州一初中生独自背着被褥、蚊帐坐地铁回家,十几斤行李在背上堆成小山!当事人:室友帮助花20多分钟打包,网友:“自己扛”比分数更重要
22岁女游客命丧日本滑雪场:下缆车时因背包被夹,连人带包一起被拖行,送医时已心脏骤停……
英超综述:阿森纳4-0暂7分领跑 切尔西输2追3+绝杀 利物浦6轮首胜
双鹭药业2025年预亏最高2.9亿元,炒股就亏损约2亿,董事长承诺自掏腰包填坑

